TEACHERS
GALLERY
PRICING
SIGN IN
TRY ZURU
GET STARTED
Loop
Audio
Interval:
5s
10s
15s
20s
60s
Play
1 of 11
Slide Notes
Download
Go Live
New! Free Haiku Deck for PowerPoint Add-In
Конденсатор
Share
Copy
Download
0
697
Published on Nov 18, 2015
No Description
View Outline
MORE DECKS TO EXPLORE
PRESENTATION OUTLINE
1.
СУПЕРКОНДЕНСАТОР
Подготовил Гриценко А.И.
2.
ЦЕЛЬ - ИЗУЧЕНИЕ КОНДЕНСАТОРА
С НАИБОЛЬШЕЙ ЭЛЕКТРОЁМКОСТЬЮ
3.
Untitled Slide
4.
ПЛОСКИЙ И ЦИЛИНДРИЧЕСКИЙ КОНДЕНСАТОРЫ
5.
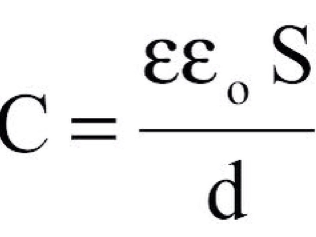
Untitled Slide
6.
Untitled Slide
7.
Untitled Slide
8.
СХЕМА ПЛОСКОГО КОНДЕНСАТОРА
9.
ИОНИСТОР ЁМКОСТЬЮ 2600 ФАРАД
10.
ВЫВОД - СОЗДАТЬ КОНДЕНСАТОР С ВЫСОКОЙ ЁМКОСТЬЮ
МОЖНО, НО БУДУТ НЕКОТОРЫЕ НЕДОСТАТКИ, ВРОДЕ РАЗМЕРА.
11.
СПАСИБО ЗА ВНИМАНИЕ
Friend of Haiku Deck
×
Error!