1 of 20

Slide Notes

DownloadGo Live

tarea de matematicas

Published on Nov 19, 2015

No Description

PRESENTATION OUTLINE

tarea de matematicas

paula penagos correa

EJERCICIO

Untitled Slide

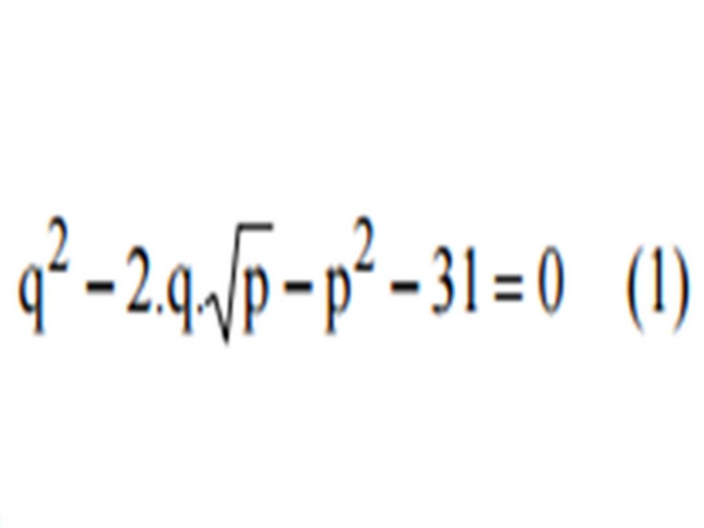
  • Una fAbrica vende q miles de artículos fabricados cuando su precio es de p U$S /unidad. Se ha determinado que la relación entre p y q es: q^2−2q√p−^2−31=0 Si el precio p del artículo es de 9 U$S y se incrementa a una tasa de 0,20 U$S por semana , te pedimos: Calcula el numero de artículos vendidos a 9 dólares ¿con que rapidez cambia la cantidad de unidad q vendidas por semana cuando el precio es de 9 dolares ?

SOLUCIÓN

como la relación entre q y p es:

Untitled Slide

SI P= 9 U$S

ENTONCES

observar

resolviendo la ecuación se puede concluir o obtener que q= 14 unidades

La otra raíz q= -8 no tiene significado practico

como el precio p varia en el tiempo, q sera consecuentemente función del tiempo

Si te pide calcular la rapidez de al variación de la demanda o sea dq/dt expresada en miles de unidades/semanas cuando el precio es de 9 U$S.

La tasa de variación del precio por semana es constante e igual a 0.02 U$S.

en consecuencia dp/dt = 0.20 U$S/semana

desarrollo

sustituyendo los valores

finalmente despejando obtines

miles unidades/semana

habrá un incremento entonces de 206 unidades demandadas