1 of 24

Slide Notes

DownloadGo Live

Statistics Ch 5

No Description

PRESENTATION OUTLINE

CHAPTER 5 PROJECT

ANNIE ACOSTA
Photo by seanjsavage

SCENARIO 1: RANDOM VARIABLES

  • Random variable: a variable (typically represented by x) that has a single numerical value, determined by chance, for each outcome of a procedure
  • Discrete Random Variable: has either a finite number of values or a countable number of values, where "countable" refers to the fact that there might be infinitely many values, but they can be associated with a counting process, so that the number of values is 0 or 1 or 2, etc.
  • Continuous random variable: has infinitely many values, and those values can be associated with measurements on a continuous scale w/o gaps or interruptions

Untitled Slide

QUESTIONS

  • For any set of random variables, the sum of all probabilities must be what?
  • Answer: The sum of all probabilities must be 1.
  • For each P(x), what is the acceptable range of probability values?
  • Answer: the acceptable range of probability values is between 0 and 1 inclusive.
Photo by David~O

SCENARIO 2: PROBABILITY DISTRIBUTIONS

  • Formulas to use for probability distributions

DEFINING VARIABLES

Untitled Slide

QUESTIONS

  • Is this a true probability distribution? Why or why not? Yes because the probability distribution adds up to 1
  • Now calculate the mean, variance and standard deviation for this set of data. mean: 2.775; variance: 1.374; standard deviation: 1.1722
  • Give at least 2 examples of data that you could get from an interview that would qualify as “not normal” and explain why they would not be normal data.
  • The usual values from the interview range from 0.4306 to 5.1 so some unusual results would be 20 children or 60 children

SCENARIO 3

  • a. A survey of parents asks about how many children they had. (n=300) not a binomial distribution b. You survey people and ask them which brand of soda is their favorite. (n=1000) not a binomial distribution c. A study involves a new headache medicine. After receiving a dose, participants are asked to rate their headache pain on a scale from 1-5. (n=500) not a binomial distribution

SCENARIO 3

  • d. A job application asks applicants if they have completed a college degree. (n=2500) it is a binomial distribution e. A Las Vegas casino is using a set of loaded dice in which P(7) = 0.67 every time. (n=250) not a binomial distribution f. You are drawing cards from a deck without replacement. You are recording whether you draw a heart or not. (n=3) not a binomial distribution

Untitled Slide

Untitled Slide

Untitled Slide

Questions

  • 1. For each Binomial situation above, calculate: mean, variance and standard deviation using the number of trials in parentheses that follow the situation. D) n= 2500; p= 0.5; q=0.5
  • Mean: 1250
  • Variance: 625
  • Standard deviation: 25

QUESTIONS

  • 2. For each NON-Binomial above, explain which criteria it fails.
  • a) the survey may yield more than two outcomes
  • b) the survey may yield more than two outcomes
  • c) The study may yield five different results as opposed to two
  • e) The probability of success is not the same in all trials
  • f) since they are drawing cards without replacement, the probability of success is not the same in all trials

SCENARIO 4

BINOMIAL PROBABILITY FORMULA

FORMULA FOR BINOMIAL DISTRIBUTION

COMBINATIONS FORMULA

Untitled Slide

  • The binomial probability formula and the combinations formula are connected as they both deal with calculating the probability of an outcome that is independent or the probability of success that remains the same in all trials

QUESTIONS

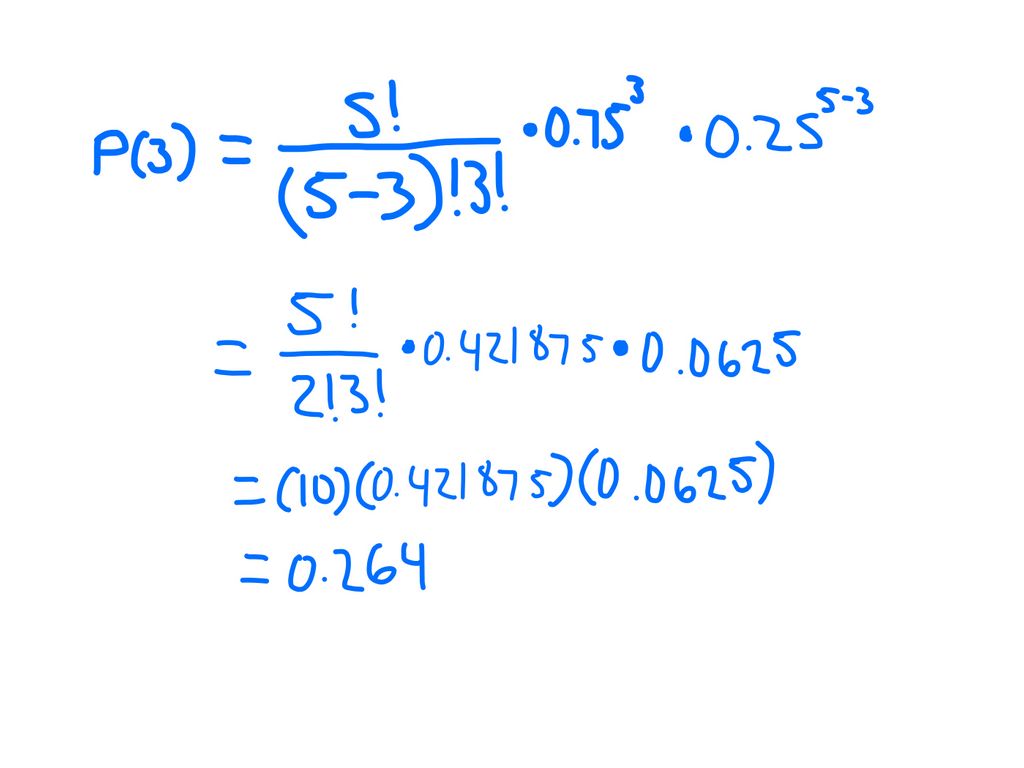
  • 1. Gregor Mendel assumed the probability of a pea plant having a green pod was 0.75. Knowing this, what would be the probability of getting exactly 3 green peas with green pods when 5 offspring are generated?

Untitled Slide

QUESTIONS

  • 2. In a national survey of Americans, 97% claimed to recognize the McDonald’s brand name. Using this idea, what would be the probability of getting 3 or fewer people out of 5 who recognize the McDonald’s brand name?

Untitled Slide

Conclusion
In this project, I reinforced my knowledge of random variables, both discrete and continuous. In sum, discrete random variables can be counted while continuous random variables are measured. I also used my knowledge of probability distributions and the formulas associated with them to find the mean, variance, and standard deviation for each probability distribution. I also used the formulas to find thE maximum and minimum usual value. This project also required an understanding of the criteria of a binomial probability distributions. In order to find the mean, variance, and standard deviation you need the number of trials along with the probability of success and failure. The last concept that I used was the binomial probability formula. This project helped me better understand the connection between the binomial probability formula and the formula for combinations.