TEACHERS
GALLERY
PRICING
SIGN IN
TRY ZURU
GET STARTED
Loop
Audio
Interval:
5s
10s
15s
20s
60s
Play
1 of 9
Slide Notes
Download
Go Live
New! Free Haiku Deck for PowerPoint Add-In
Models
Share
Copy
Download
0
93
Published on Nov 24, 2015
No Description
View Outline
MORE DECKS TO EXPLORE
PRESENTATION OUTLINE
1.
MODELS OF DAILY LIFE
Photo by
ecstaticist
2.
Untitled Slide
3.
GRAPHICAL MODEL
SHOW DIRECTIONS IN CALIFORNIA
4.
Untitled Slide
Photo by
Rob Swatski
5.
PHYSICAL MODEL
A DIAGRAM OF THE HUMAN BODY
Photo by
Rob Swatski
6.
Untitled Slide
7.
CONCEPTUAL MODEL
MERCURY CONTAMINATION TO SHOW THE AMOUNT OF MURCURY CONTAMINATION
8.
Untitled Slide
9.
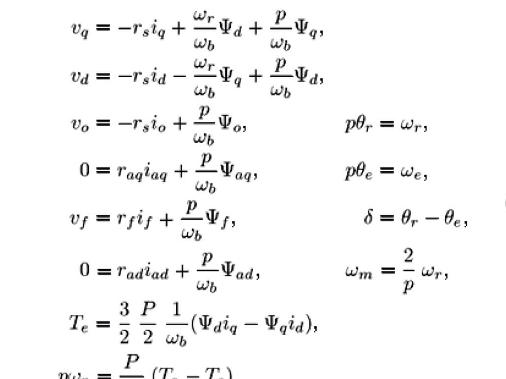
MATHEMATICAL MODEL
MATHEMATICAL EQUATIONS TO HELP WITH MATH PROBLEMS
Josh Aultman
×
Error!