TEACHERS
GALLERY
PRICING
SIGN IN
TRY ZURU
GET STARTED
Loop
Audio
Interval:
5s
10s
15s
20s
60s
Play
1 of 15
Slide Notes
Download
Go Live
New! Free Haiku Deck for PowerPoint Add-In
Cônicas
Share
Copy
Download
0
4
No Description
View Outline
MORE DECKS TO EXPLORE
PRESENTATION OUTLINE
1.
AS CÔNICAS
Parábola
2.
EQUIPE:
Ilda Luiza e Livanny Laiany
3.
ARQUIMEDES
287 a.c. 212 a.c.
4.
DEFINIÇÃO E ORIGEM
parábola
5.
Untitled Slide
6.
Untitled Slide
7.
Untitled Slide
8.
ESTRUTURA E REGRAS
9.
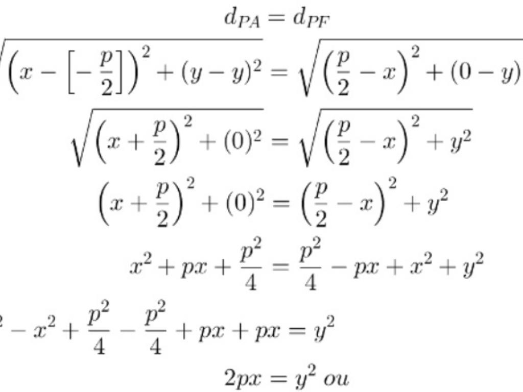
EQUAÇÕES DA PARÁBOLA
10.
Untitled Slide
11.
Untitled Slide
12.
APLICABILIDADE
13.
Untitled Slide
14.
Ponte Juscelino Kubitscheck - Brasília
15.
OBRIGADA! ❤️
Friend of Haiku Deck
×
Error!